EXPERTISE

Travaux clé en main.

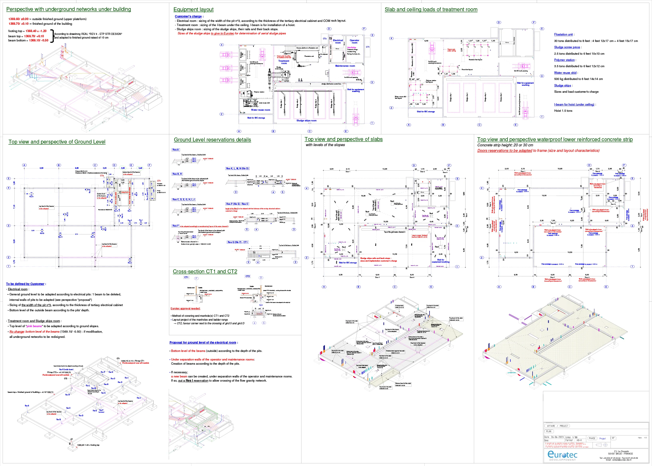
ÉTUDES

Recueillir vos besoins, vos éléments de situation, élaborer un premier schéma, vous accompagner dans la structuration, puis le design et la définition précise de votre projet est notre cœur de métier !

Nos techniciens et ingénieurs étudient, calculent, valident et définissent 100% des besoins de vos process, allant des calculs hydrauliques au besoins de charpente, des calculs d’oxygénation à la ventilation des ouvrages ou encore les taux de traitement en réactifs.

Vous souhaitez en savoir plus ?

PLANS GUIDE

En tant que spécialistes des travaux clé en main, nous élaborons l’ensemble des plans du projet, qu’il s’agisse de travaux clé en main ou de lots gros œuvre commandités en direct par le client.

Ainsi dans certains cas, nous sommes amenés à fournir à nos clients des prestations de plans guides, qui sont repris ensuite par les sous-traitants de nos clients pour être transformés en plans d’exécution.

Tel est notamment le cas pour certains projets éloignés géographiquement, où nous sommes amenés à fournir l’ensemble des plans guides déclinés par ouvrage ou type de travaux.

Vous souhaitez en savoir plus ?

PLANIFICATION DES TRAVAUX

La planification des travaux et le respect des engagements en termes de délais est pour nous primordial.

La planification des travaux intègre la totalité des phases entre la commande du client et la levée des réserves.

La planification des travaux intègre donc aussi, outre les travaux, les phases d’étude, d’essais et les phases conclusives.

Erigé en fil rouge, le planning de travaux permet au client de se situer dans l’avancement de son projet, de préparer également sa prise en main des installations.

Vous souhaitez en savoir plus ?

GESTION DE LA SOUS-TRAITANCE

Chez EUROTEC DEVELOPPEMENT nous sommes coutumiers des travaux clé en main avec gestion de la sous-traitance.

Ainsi notre Direction technique, nos conducteurs de travaux collaborent chaque jour avec des équipes de terrassement, intervenants en fondations spéciales, charpentier / bardeurs, électricien et automaticiens ou encore des grutiers.

Nous intervenons en conduite de travaux alliant respects des engagements de délais et qualité, intervention en sécurité.

Vous souhaitez en savoir plus ?

SUIVI DES TRAVAUX TOUS CORPS D’ETAT

Au-delà de la gestion de la sous-traitance courante, nous sommes chez EUROTEC DEVELOPPEMENT a-même de suivre des travaux en tous corps d’état, ainsi parfois, nos clients nous sollicitent pour des prestations d’accompagnement parallèle, qui peuvent également être contractées sous forme d’assistance à la Maîtrise d’œuvre.

Vous souhaitez en savoir plus ?

MONTAGE DES EQUIPEMENTS

Chez EUROTEC DEVELOPPEMENT nous avons à cœur la maîtrise de nos projets, ainsi tout comme les études techniques et le suivi des travaux de sous-traitance, nos propres équipes interviennent pour le montage des équipements.

Nous installons, réalisons les manutentions, raccordons hydrauliquement nous même l’ensemble de nos process.

Nos équipes de monteurs sont régulièrement formés selon les référentiels nécessaires, notamment via les CACES concernés, sauveteur secouriste ou encore les habilitations électriques ou intervention en espace confiné.

Vous souhaitez en savoir plus ?

RACCORDEMENTS HYDRAULIQUES ET ELECTRIQUES

Nous raccordons nos équipements après implantation, nous réalisons majoritairement nos liaisons hydrauliques en acier inoxydables, sous atmosphère ou pas selon les contextes et les besoins.

La majorité de nos techniciens intervenants étant des tuyauteurs et/ou soudeurs.

Les raccordements électriques sont généralement sous-traités, sauf dans des cas précis comme des projets éloignées ou nos techniciens metteurs en route réalisent préalablement les cheminements, les tirages de câbles et les raccordements eux-mêmes.

ESSAIS A BLANC ET EN EAU CLAIRE

Que cela soit sur nos préfabrications en atelier ou In-situ, nos techniciens procèdent systématiquement aux essais à blanc, soit hors production ; également aux essais en eaux claires.

L’objectif est double : sécuriser au maximum et minimiser les aléas de mise en service industrielle, également de procéder aux épreuves de qualité et d’étanchéité.

Selon les projets, et notamment dans le cadre des projets lointains, nos techniciens raccordent à blanc les équipements en atelier et procèdent aux différentes épreuves nécessaires.

Vous souhaitez en savoir plus ?

MISE EN SERVICE INDUSTRIELLE

Dès lors où les essais à blanc et les tests en eaux claires sont réalisés, nous procédons à la mise en service industrielle des installations.

Les ouvrages sont successivement mis en service, au fil de l’eau et selon leurs interconnexions éventuelles.

Dès lors où, le cas échéant, des validations sont nécessaires, les étages de traitement sont tour à tour mis en service.

A l’issue de la mise en service, l’ensemble des réglages et paramètres de mise en service sont consignés et mis en ligne à disposition du client sous notre extranet MyEurotec.

Vous souhaitez en savoir plus ?

LA FORMATION DES EXPLOITANTS

La formation des exploitants vient conclure la mise en service.

Celle-ci à lieu lorsque la totalité des installations (ou phases éventuelles lors de travaux conséquents) sont mises en service.

Le client reçoit plusieurs sessions de formation, dépendant du poids des volets théoriques et pratiques ainsi que du nombre de personnes à former.

Vous souhaitez en savoir plus ?

RECEPTION DES TRAVAUX

La réception des travaux est la dernière phase « contractuelle » avec nos clients,

Dès lors ou les étapes de fin de travaux et mise en service sont réalisées, nous procédons à la réception des travaux.

Cette réception peut être précédée d’O.P.R, comprenez Opérations Préalables à la Réception durant laquelle les réserves éventuelles sont listées.

Dès lors ou l’ensemble des réserves sont levées, le procès-verbal de réception sans réserve est prononcé.

Vous souhaitez en savoir plus ?